にんじんブログ

にんじんの生活・勉強の記録です。

MENU にんじんコンテンツを一望しよう!「3CS」

2021-10-17から1日間の記事一覧

将来価値計算を勉強したので計算などしてみる(年金)

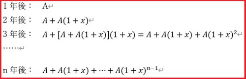
年金終価係数の導出 毎年A円を利率xでn年間運用する。すると次のようになる。 これをさらに計算すると、 こうなる。つまり、Aに掛けるところの分数が、年金終価係数である。 みんなが欲しかった! FPの教科書 3級 2021-2022年 (みんなが欲しかった! シリーズ)…